网站首页
关于我们
动物医疗
资讯中心
产品中心
知识中心
人才招聘

头孢聚合物专用柱 Cef-SEC

日期:2026-03-30 人气:4
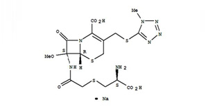
头孢聚合物专用柱   Cef-SEC
    型号:Cef-SEC
    监管
    尊敬的供应商:如果您对展示该产品有异议,请至电:021-50308503我们将在第一时间处理!
    产品名称:头孢聚合物专用柱 Cef-SEC
    结构组成
    适用范围
    温馨提示
    1.头孢聚合物专用柱 Cef-SEC可能含有禁忌内容或者注意事项,具体详见说明书;
    2.购买头孢聚合物专用柱 Cef-SEC,消费者应仔细阅读产品说明书或者在医务人员的指导下购买和使用。

 头孢聚合物检测专用柱采用独有的化学修饰技术可精确控制亲水涂层的厚度,从而确保柱与柱之间有着可靠的重现性。

由于采用化学键合技术,且涂层覆盖完全,Cef-SEC柱具有优异的稳定性。

均匀可控的表面涂层保证了分离的高效性,通过运用独有的装填技术得到的Cef-SEC柱柱床密度均一稳定,保证具有最高的柱效。

符合药典对于色谱柱基质的要求,完全满足药典对于样品检测的分离要求。头孢聚合物检测专用柱Cef-SEC键合固定相是采用专利的表面修饰技术,通过在高纯度具有良好机械稳定性的硅胶基质上键合均匀的纳米厚度的亲水涂层而制备得到。在药典色谱条件下的分离过程中,对头孢类药物的聚合物检测,分离度完全满足药典要求。


我要询价
×
首页
询价